请升级浏览器版本

你正在使用旧版本浏览器。请升级浏览器以获得更好的体验。

学院动态

首页 >> 学院动态 >> 正文
清华大学瞿燕辉副教授应邀来新葡的京集团350vip8888做学术报告
发布日期:2022-10-27    点击:


20221020日下午,清华大学瞿燕辉副教授应邀在“几何测度论与相关领域讨论班(2022秋季第4)上为数学学院师生做了题为Almost sure spectral properties for Sturm Hamiltonian”的学术报告,报告由梁湘玉老师主持。

 

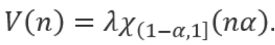
在报告中,瞿燕辉老师考虑具有Sturm势的离散薛定谔算子

 

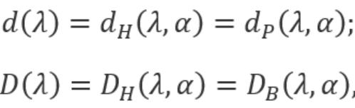
他证明了在λ≥24的情况下,存在0≤d(λ)≤D(λ),使得在Lebesgue测度意义下,对于几乎处处的α都有

 

其中,是该算子的谱的Hausdorff维数和箱维数为,是状态测度的密度的Hausdorff维数和packing维数。

此次报告吸引了众多师生,参会老师就报告内容进行了热烈讨论交流。

报告人简介:瞿燕辉,清华大学副教授。主要研究方向为数学物理,动力系统,分形几何。

快速链接

版权所有 © 2021  版权所有 新葡的京集团350vip8888-官方网站
地址:北京市昌平区高教园南三街9号   网址 www.czhoude.com

Baidu
sogou